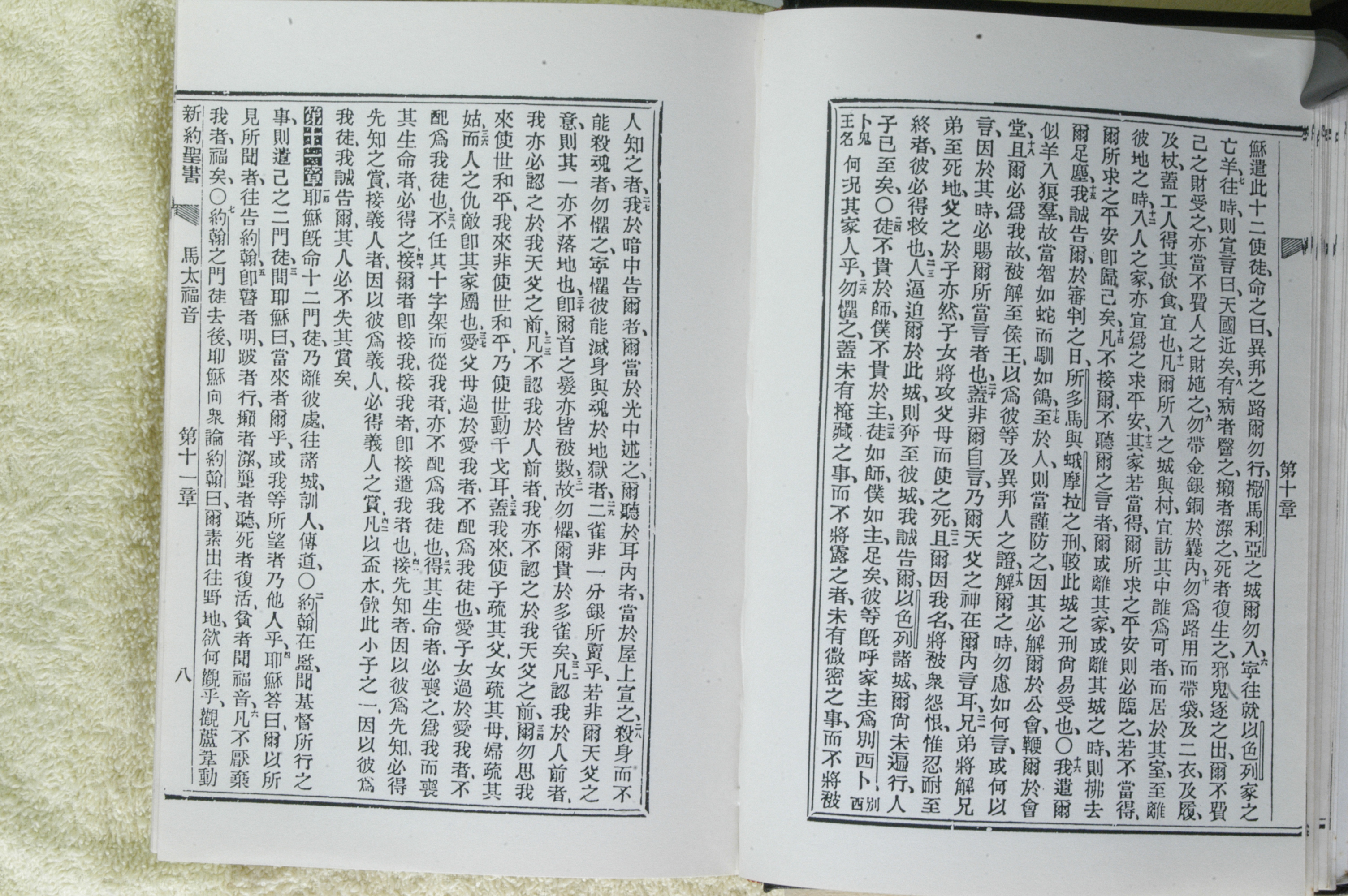
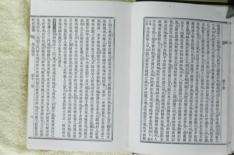
珍本圣经数位典藏

1886年新约全书 马太福音 10 章 到 11 章

(按图可以看高解析度照片) 封面 上一页 下一页 回珍本圣经数位典藏计划首页

回珍本圣经数位典藏计划首页