珍本圣经数位典藏

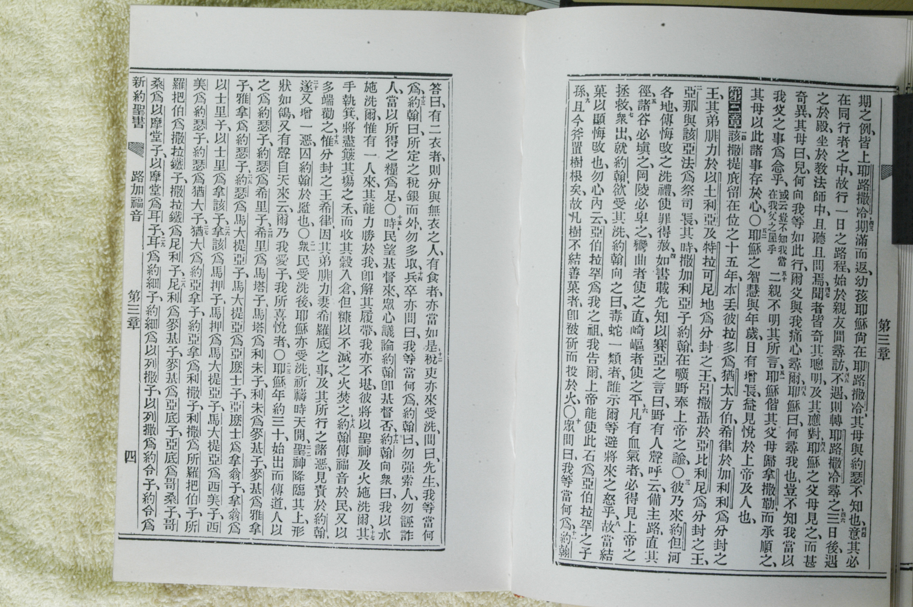
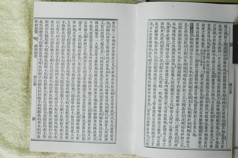
1886年新约全书 路加福音 2 章 到 3 章

(按图可以看高解析度照片) 封面 上一页 下一页 回珍本圣经数位典藏计划首页

回珍本圣经数位典藏计划首页