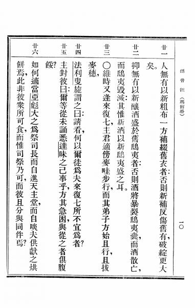
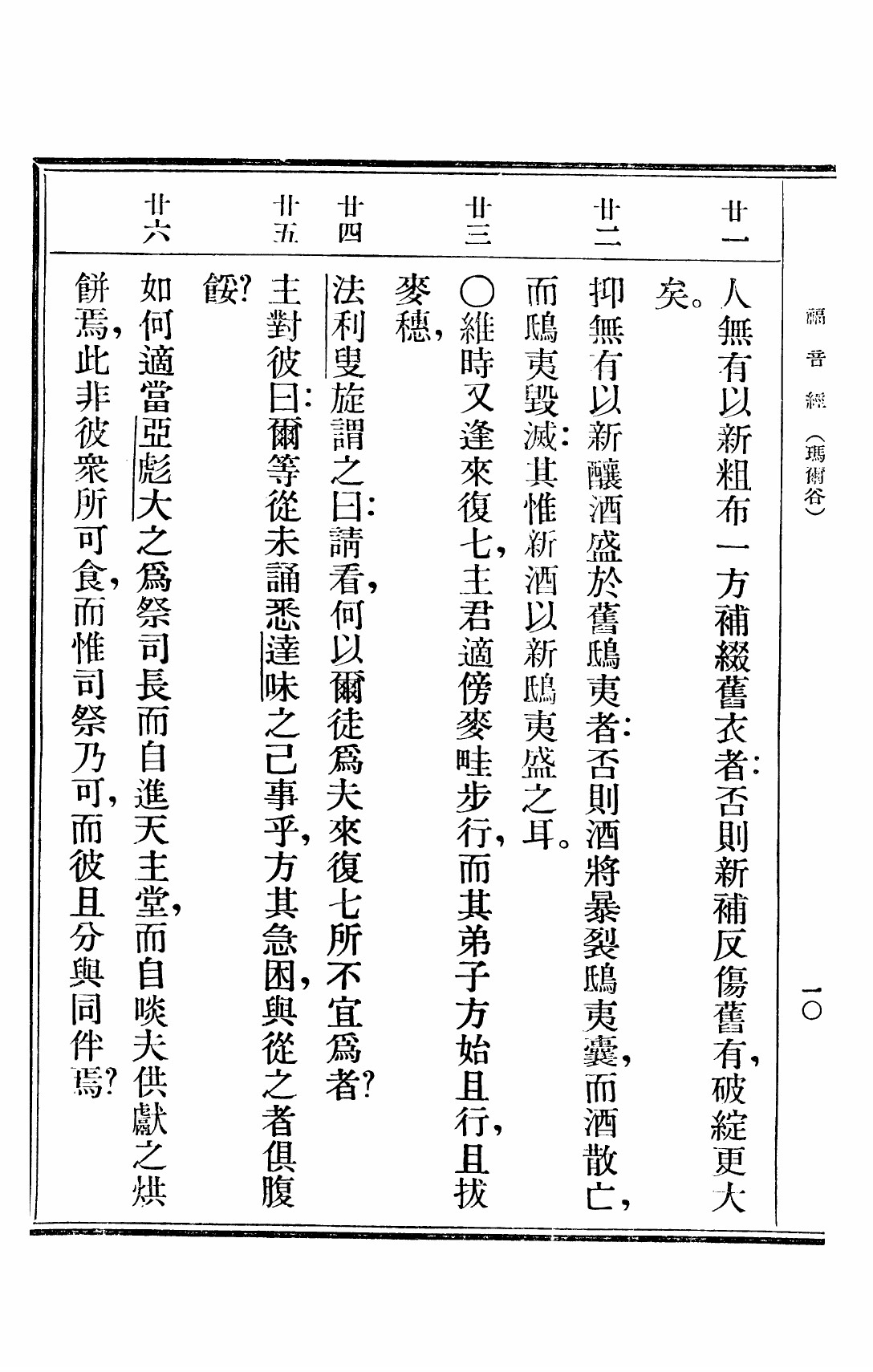
珍本圣经数位典藏

1949年救世福音 马可福音 2 章 21 节到 2 章 26 节

(按图可以看高解析度照片) 封面 上一页 下一页 回珍本圣经数位典藏计划首页

回珍本圣经数位典藏计划首页