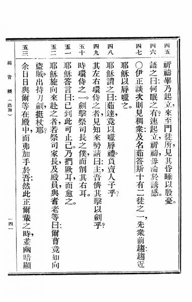
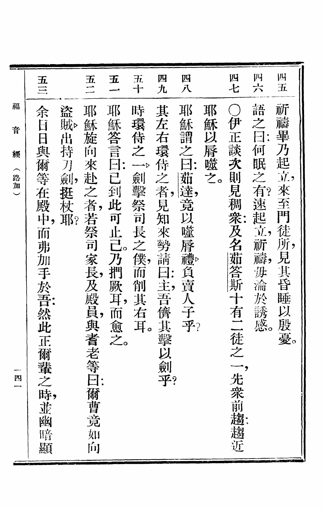
珍本圣经数位典藏

1949年救世福音 路加福音 22 章 45 节到 22 章 53 节

(按图可以看高解析度照片) 封面 上一页 下一页 回珍本圣经数位典藏计划首页

回珍本圣经数位典藏计划首页