珍本圣经数位典藏

1949年救世福音 约翰福音 8 章 32 节到 8 章 39 节

(按图可以看高解析度照片) 封面 上一页 下一页 回珍本圣经数位典藏计划首页

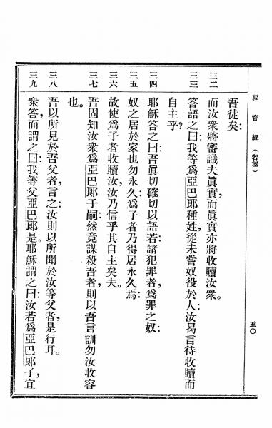
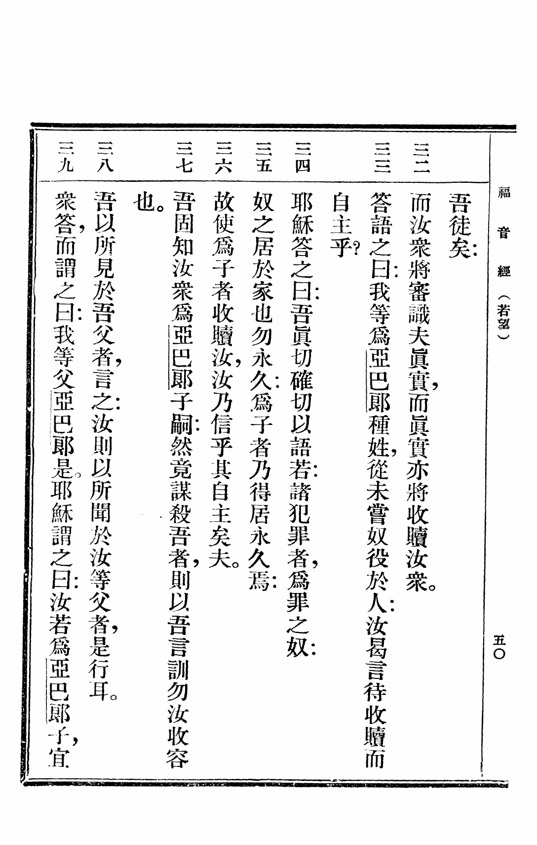
回珍本圣经数位典藏计划首页