珍本圣经数位典藏

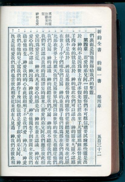
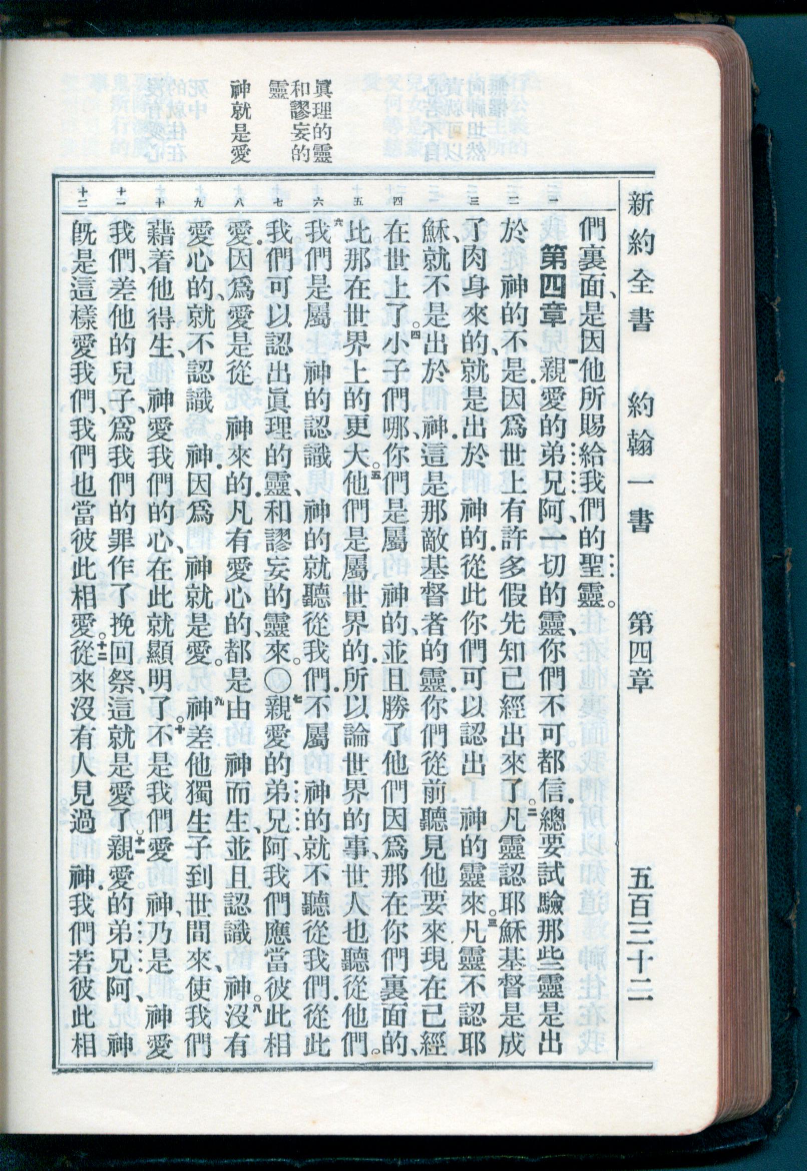
1934年新约全书(官话和合本) 约翰一书 4 章 1 节到 4 章 12 节

(按图可以看高解析度照片) 封面 上一页 下一页 回珍本圣经数位典藏计划首页

回珍本圣经数位典藏计划首页