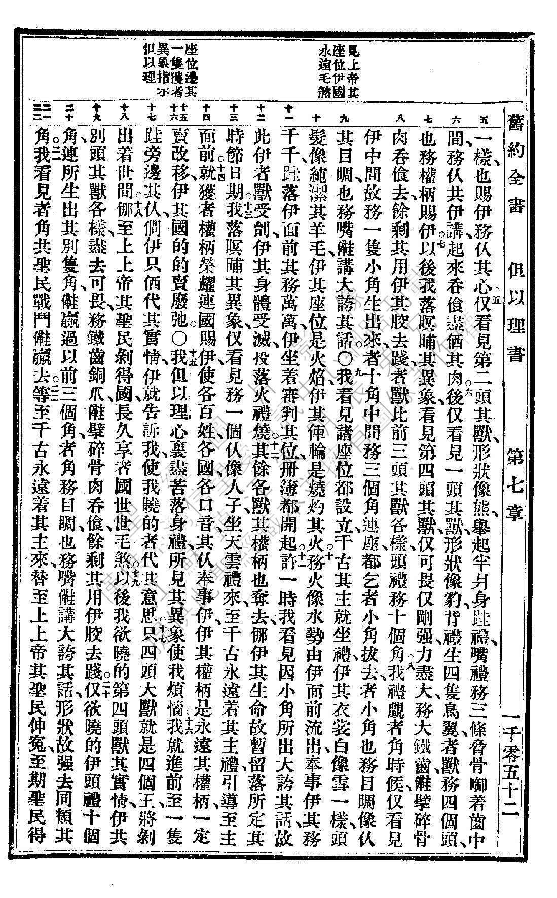
珍本圣经数位典藏

1937年福州土腔圣经 但以理书 7 章 5 节到 7 章 22 节

(按图可以看高解析度照片) 封面 上一页 下一页 回珍本圣经数位典藏计划首页

回珍本圣经数位典藏计划首页