珍本聖經數位典藏

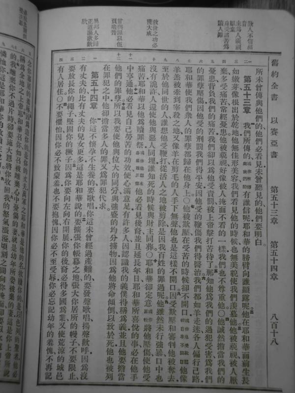
1919年官話和合本 以賽亞書 53 章 1 節到 54 章 4 節

(按圖可以看高解析度照片) 封面 上一頁 下一頁 回珍本聖經數位典藏計劃首頁

回珍本聖經數位典藏計劃首頁