珍本聖經數位典藏

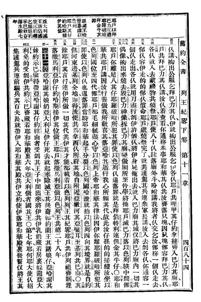
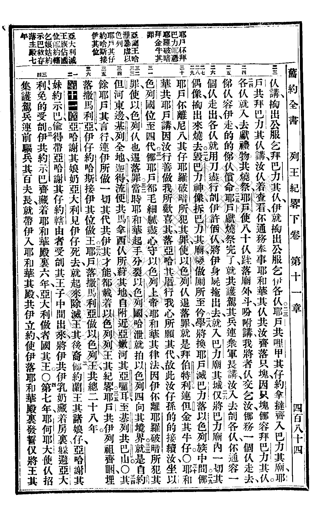
1937年福州土腔聖經 列王紀下 10 章 23 節到 11 章 4 節

(按圖可以看高解析度照片) 封面 上一頁 下一頁 回珍本聖經數位典藏計劃首頁

回珍本聖經數位典藏計劃首頁